Published januari 02, 2021 by Jagoan website

Materi Distribusi Binomial, Apa itu distribusi binomial mata Kuliah Statistik

Distribusi Binomial

Distribusi Binomial ditemukan oleh Jacob Bernaulli, ahli

Matematika    berkebangsaan    Swiss.    Distribusi    binomial dikenal juga sebagai distribusi Bernaulli.

Dalam teori probablilitas, distribusi binomial merupakan  salah satu jenis distribusi probabilitas diskrit dengan jumlah keberhasilan dalam n percobaan yang saling bebas, dimana setiap hasil percobaan memiliki probabilitas p. Eksperimen berhasil/gagal juga disebut percobaan bernoulli. Ketika n = 1, distribusi binomial adalah percobaan bernoulli. Distribusi binomial merupakan dasar dari uji binomial dalam uji signifikansi statistik.

Distribusi ini seringkali digunakan untuk memodelkan jumlah keberhasilan  pada  jumlah  sampel  n  dari  jumlah  populasi  N.  Sering dalam berbagai macam permasalahan peluang hanya memiliki dua kemungkinan hasil atau dapat disederhanakan menjadi dua kemungkinan.

Sebagai contoh, ketika suatu koin dilempar, maka kita akan mendapat angka atau gambar. Ketika seorang bayi lahir, maka seorang bayi tersebut merupakan bayi laki-laki atau perempuan. Dalam permainan bola basket, tim yang bermain bisa menang atau kalah. Keadaan benar/salah tersebut dapat  dijawab  dengan  dua  cara,  yaitu  benar  atau  salah.  Jika  peluang benar disimbolkan p, maka peluang gagal adalah q = 1-p.

Percobaan binomial merupakan suatu percobaan yang memenuhi empat syarat berikut:

- Terdapat n kali percobaan.

- Masing-masing percobaan hanya dapat menghasilkan dua kemungkinan, atau hasil yang diperoleh dapat disederhanakan menjadi  dua  kemungkinan.  Hasil  yang  diperoleh  tersebut dapat dianggap sebagai hasil yang sukses atau gagal.

- Hasil dari masing-masing percobaan haruslah saling bebas.

- Peluang untuk sukses harus sama untuk setiap percobaan.

Suatu    percobaan          binomial               dan        hasilnya                memberikan      distribusi              peluang khusus yang disebut sebagai distribusi binomial.

Hasil-hasil percobaan binomial dan peluang yang bersesuaian dari hasil tersebut dinamakan distribusi binomial.

Notasi-notasi     yang      umumnya           digunakan           dalam    percobaan          binomial distribusi binomial adalah sebagai berikut.

P(S) : simbol untuk peluang sukses

P(F) : simbol untuk peluang gagal  

p    : peluang sukses

q             : peluang gagal

P(S) = p P(F) = q = 1 - p

n             : banyaknya percobaan

X             : banyaknya sukses dalam n kali percobaan 0 <= X <= n    dan        X = 0,1,2,..., n

Rumus Peluang Binomial

Dalam suatu percobaan binomial, peluang untuk mendapatkan tepat X sukses dalam n percobaan adalah :

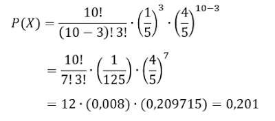
Contoh 1

Suatu survey menemukan bahwa satu dari lima orang berkata bahwa dia telah mengunjungi dokter dalam sembarang bulan yang ditanyakan Jika 10 orang dipilih secara acak, berapa peluang tiga diantaranya sudah mengunjungi dokter bulan lalu?

Pembahasan :

Pada kasus ini


Sehingga


Suatu koin dilempar sebanyak tiga kali. Tentukan peluang mendapatkan tepat dua angka!

Pembahasan:

Ruang sampel dari pelemparan satu koin sebanyak tiga kali adalah  S = { AAA, AAG, AGA, GAA, AGG, GAG, GGA, GGG } n(S) = 8

Dari ruang sampel, kita dapat melihat bahwa ada tiga cara untuk mendapatkan tepat dua angka, yaitu AAG, AGA, dan GAA. Sehingga peluang kita mendapatkan tepat dua angka adalah 3/8 atau 0,375.

Contoh 2

Dengan melihat kembali contoh ini dari sudut pandang percobaan binomial, maka memenuhi keempat kriteria percobaan binomial.

- Terdapat tiga kali percobaan.

- Setiap percobaan hanya memiliki dua kemungkinan, yaitu angka (A) atau gambar (G).

- Hasil dari masing-masing percobaan saling bebas (hasil dari suatu pelemparan tidak mempengaruhi hasil pelemparan lainnya).

- Peluang percobaan sukses (angka) adalah ½ di setiap percobaannya.

Oleh karena itu, dapat kita lakukan perhitungan secara binomial


Jawaban  tersebut  sama  dengan  jawaban sebelumnya saat kita menggunakan rumus ruang sampel.

Sepasang suami isteri yang baru menikah merencanakan untuk memperoleh   empat   orang   anak.   Jika   rencananya   mungkin terlaksana dan diketahui probabilitas untuk memperoleh anak laki-laki dalam tiap kelahiran adalah 0.51, maka:

- Probabilitas untuk memperoleh empat orang anak laki-laki:


- Probabilitas untuk memperoleh tiga orang anak laki-laki:


Probabilitas untuk memperoleh dua orang anak laki-laki:

Probabilitas untuk memperoleh satu orang anak laki-laki:


Probabilitas untuk memperoleh paling sedikit dua orang anak laki-laki:



Oleh  Nur Rohmah Oktaviani Putri, S.Si., M.Si